Wierzchowo

działka inwestycyjna na sprzedaż Bez pośrednika

Działka inwestycyjna Wierzchowo
Cena
135 540
Powierzchnia
2259 m²
Cena za m²
60
Wierzchowo · 135 540 zł

Ogłoszenie właściciela - bez pośredników

Działka inwestycyjna Wierzchowo. Zdjęcie 1
Działka inwestycyjna Wierzchowo. Zdjęcie 1

Bez pośrednika. Oszczędzasz 4 100 zł na prowizji pośrednika!

Działka usługowa o pow. 2259 m2, zlokalizowana w Wierzchowie, około 13 km od Szczecinka.

Działka jest atrakcyjnie usytuowana:
- przy nowej drodze S11,
- blisko węzła drogowego,
- blisko strefy przemysłowo-produkcyjnej oraz turystycznej,
- około 300 m od jeziora Wierzchowo.

Prąd, woda, gaz i kanalizacja w drodze gminnej.

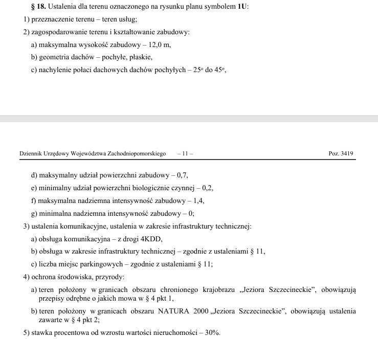
Przeznaczenie w MPZP: 1U - Tereny usługowe.

  • Wierzchowo, gmina Szczecinek, powiat szczecinecki
  • Na sprzedaż działka inwestycyjna o powierzchni 2259 m².
  • Oferta dodana bezpośrednio przez właściciela ponad miesiąc temu
Wróć
Największa baza ogłoszeń bez pośredników
Zarejestruj się, aby przejść dalej
lub

Kontynuując akceptujesz
Regulamin i Politykę prywatności

Masz już konto na adresowo.pl?
Zaloguj się

Mamy dla Ciebie kredyt hipoteczny z niską ratą! Chcesz poznać szczegóły?

Kontakt z VeloBank:
- ofertę, wniosek i decyzję o przyznaniu kredytu w procesie online,
- wsparcie eksperta hipotecznego na każdym kroku,
- kredyt do 90% wartości nieruchomości.





Wyrażam zgodę na przetwarzanie moich danych osobowych zawartych w formularzu na stronie adresowo.pl przez VeloBank S.A. z siedzibą w Warszawie przy Rondo Ignacego Daszyńskiego 2C (Bank), a tym samym na ich przetwarzanie, w tym profilowanie, przez Bank w celu marketingu produktów i usług Banku za pośrednictwem rozmowy telefonicznej i sms. Zgoda może być w każdej chwili wycofana. Cofnięcie zgody nie ma wpływu na zgodność z prawem przetwarzania danych przed jej wycofaniem.